1. Radiación de Cuerpo Negro
En el siguiente apartado se aborda la radiación de cuerpo negro y la catástrofe del ultravioleta, fenómenos que gestaron la curiosidad en Planck y que dieron pie al nacimiento de la Mecánica Cuántica en el Siglo XX.
¿Qué es un cuerpo negro?
Un cuerpo negro es un objeto ideal que absorbe toda la radiación electromagnética que incide sobre él, sin reflejar ni transmitir nada.
Al calentarse, emite radiación que depende solo de su temperatura, no del material del que está hecho.
Ejemplo real: una cavidad metálica calentada con una pequeña abertura actúa como un cuerpo negro casi perfecto.
Un modelo físico de cuerpo negro es el radiador de cavidad, con paredes ennegrecidas y un pequeño orificio por donde la radiación entra y sale.
La intensidad espectral de la radiación depende de la longitud de onda (λ) y la temperatura (T):

Ley de desplazamiento de Wien
La longitud de onda en la que la radiación alcanza su máximo de intensidad es inversamente proporcional a la temperatura:

A mayor temperatura, menor λₘₐₓ.
Ley de Stephan-Boltazmann
La potencia total radiada por un cuerpo negro es proporcional a la cuarta potencia de su temperatura absoluta:

donde A es la superficie de un cuerpo negro, T es su temperatura (en Kelvins), y σ es la constante de Stefan-Boltzmann, σ=5,670×10−8W/(m2⋅K4). La ley de Stefan nos permite estimar la cantidad de energía que radia una estrella midiendo a distancia su temperatura.
Fallo del modelo clásico - Catástrofe Ultravioleta
La teoría clásica (ley de Rayleigh-Jeans) predecía que la intensidad crecía indefinidamente a longitudes de onda cortas:

Esta expresión diverge para λ → 0, contradiciendo los resultados experimentales (la llamada catástrofe ultravioleta).
Hipótesis de Planck
Según la Física Clásica, un cuerpo que emite radiación (como un metal caliente) debería emitir energía infinita a altas frecuencias, algo absurdo conocido como la catástrofe ultravioleta.
Max Planck resolvió el problema proponiendo que la energía no se emite ni se absorbe de forma continua, sino en paquetes discretos llamados cuantos.

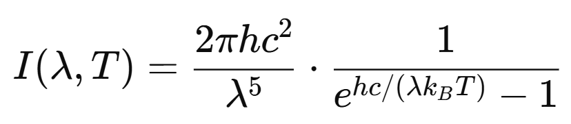
Ley de radiación de Planck
A partir de la hipótesis cuántica, Planck obtuvo la expresión correcta para la intensidad espectral de la radiación de cuerpo negro:

kB=1,380×10^−23 J/K (constante de Boltzmann).
Esta ecuación coincide exactamente con los resultados experimentales y permite derivar tanto:
-
la ley de Wien (máximo de la curva),
-
como la ley de Stefan-Boltzmann (integrando el área bajo la curva).