
5. Dinámica relativista: Energía, cantidad de movimiento y masa relativista
Ya analizamos la cinemática relativista, sin embargo aún podemos estudiar la dinámica relativista relacionando las fuerzas, cantidad de movimiento y energía relativistas. Toca aquí para más información.
Masa relativista
En la física clásica, la masa es una cantidad constante que mide la cantidad de materia de un cuerpo.
Sin embargo, cuando los objetos se mueven a velocidades cercanas a la de la luz, la Teoría Especial de la Relatividad muestra que la masa aumenta con la velocidad.
La masa relativista m está dada por:
m=γm0
A medida que la velocidad v se acerca a la de la luz c.
-
El factor γ aumenta mucho.
-
Por lo tanto, la masa relativista crece enormemente.
-
Esto significa que se necesita más energía para seguir acelerando el cuerpo.
Por eso ningún objeto con masa puede alcanzar la velocidad de la luz: requeriría una energía infinita.
El momento lineal relativista se expresa como:

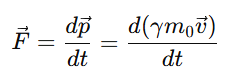
En la física clásica, la segunda ley de Newton establece que la fuerza neta que actúa sobre un cuerpo es proporcional a la tasa de cambio de su momento lineal:

y como el momento clásico es p=mv, con masa constante se obtiene:

Pero en la Teoría Especial de la Relatividad, la masa no es constante cuando la velocidad se acerca a la de la luz.
Por tanto, la relación entre fuerza, masa y aceleración se modifica.
El momento lineal relativista se define como:

