
4. Las consecuencias de la Relatividad: Contracción de las longitudes, dilatación del tiempo, aberración estelar, efecto Doppler
Aquí describiremos como las longitudes se contraen en la dirección del movimiento y como el tiempo pasa más lento para una persona que viaja a velocidades muy altas.
Introducción
En la Relatividad Especial, Einstein demostró que el tiempo y el espacio no son absolutos, sino que dependen del movimiento relativo entre observadores.
Cuando un objeto se mueve a una velocidad cercana a la de la luz, el tiempo y las distancias se modifican según el observador.
Dilatación del tiempo
El tiempo se dilata, es decir, transcurre más lentamente para un objeto en movimiento respecto a un observador en reposo.

Ejemplo: los relojes en satélites GPS avanzan más rápido que los de la Tierra, y deben corregirse con la relatividad.
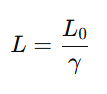
Contracción de las longitudes
Un objeto que se mueve a gran velocidad se acorta en la dirección del movimiento según el observador en reposo.

Aberración estelar
La aberración estelar es el cambio aparente en la posición de una estrella debido al movimiento de la Tierra alrededor del Sol.
Fue descubierta por James Bradley en 1728, mucho antes de Einstein, y se explica naturalmente con la teoría relativista.
Cuando la Tierra se mueve a velocidad v, la luz que llega de una estrella con velocidad c parece provenir de una dirección distinta, debido a la combinación de ambos movimientos (el de la luz y el del observador).
La dirección aparente de la estrella cambia unos 20,5 segundos de arco a lo largo del año.
La aberración se expresa como:

Esto muestra que el ángulo observado depende del movimiento del observador.
El fenómeno demuestra que la velocidad de la luz es constante y no depende del movimiento de la Tierra.
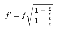
Efecto Doppler relativista
El efecto Doppler es el cambio en la frecuencia o longitud de onda de una señal (sonora o luminosa) cuando hay movimiento relativo entre la fuente y el observador.
Si la fuente se mueve a velocidad v respecto del observador:

donde:
-
f′: frecuencia observada
-
f: frecuencia emitida
-
v: velocidad relativa (positiva si se aleja)
-
c: velocidad de la luz
Observaciones
-
Si la fuente se acerca, la frecuencia aumenta → corrimiento al azul.
-
Si la fuente se aleja, la frecuencia disminuye → corrimiento al rojo.
Este efecto permite medir la velocidad de las galaxias y fue clave para descubrir que el universo se expande (corrimiento al rojo galáctico).