
3. Transformaciones de Lorentz
11.11.2025
En este apartado se abordarán las transformaciones de Lorentz. Toca aquí para más información.
Con los postulados, Einstein obtiene las ecuaciones que relacionan coordenadas entre referentes que se mueven a velocidad constante relativa:

Estas reemplazan a las transformaciones de Galileo, que suponían t′=t.
Si v→0 γ≈1
y recuperamos la mecánica clásica.
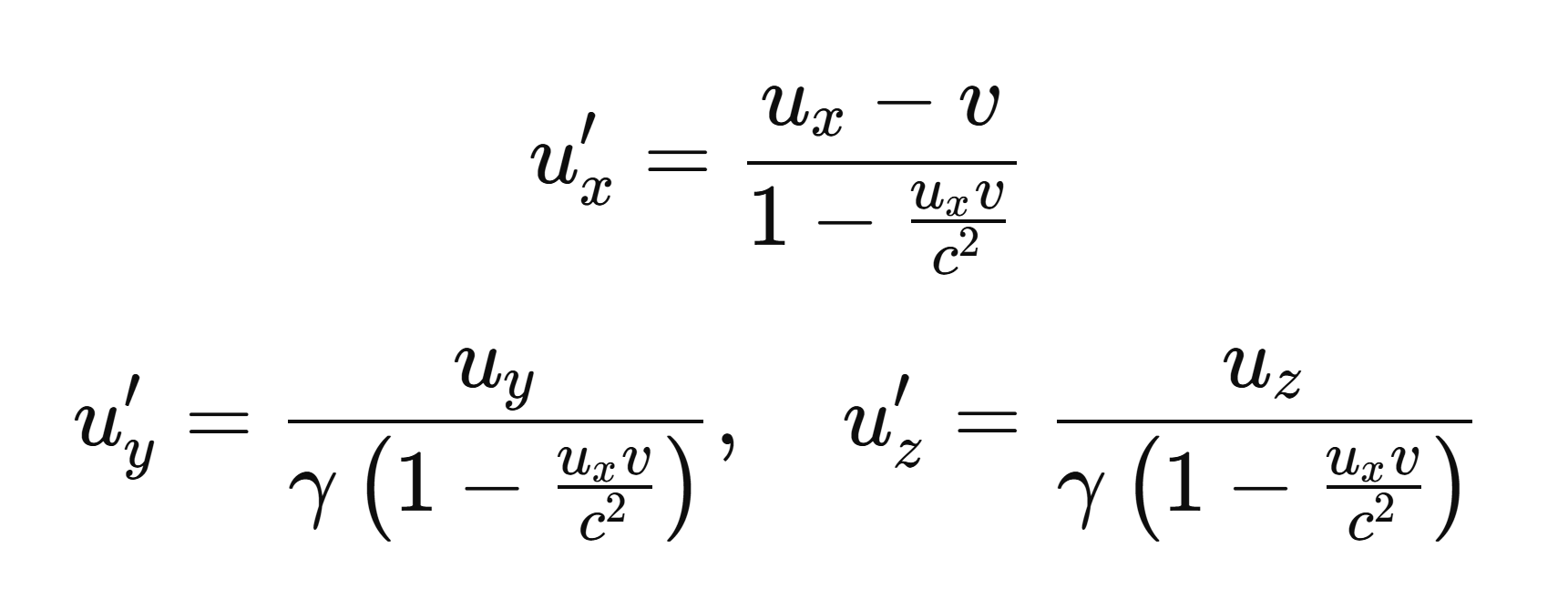
Transformación de la velocidad
Para un objeto que se mueve con velocidad ux en S, su velocidad en S′ es:

Esto significa que las velocidades no se suman linealmente, como en la física clásica.
Aun si dos objetos se acercan muy rápido, su velocidad relativa nunca supera la velocidad de la luz.